【中关村在线显示器频道原创】液晶显示器的尺寸大小,外观设计和性能配置都在进一步的细化,这样的变化和趋势让市场上的液晶类型越来越多样,产品数量也在逐步的丰富。随之而来的,自然是激烈竞争压力下价格和利益的步步压缩。因此大尺寸液晶显示器的价格也日渐亲民。 在尺寸方面,目前民用级市场最受欢迎的就是27英寸规格显示器产品了。无论是一般的TN类液晶显示器,还是采用广视角面板制造的机型,甚至是LED背光或是支持3D显示的产品,27英寸这个尺寸所涵盖的显示器种类十分繁多,并且也得到了几乎所有显示器厂商的大力支持。

目前液晶市场上最常见的大屏尺寸就是27英寸了,并且由于该尺寸的液晶具备了点距大、视觉效果畅爽等优点,因此深受消费者的青睐。诸多已经问世的27英寸液晶都已经渐渐成长为了市场的霸主。而今,对于消费者来说,低价的27英寸大屏已经成为了他们愿意为之消费的新的需求点。
| 十款27英寸液晶显示器简介 | ||||||
| 产品名称 | 尺寸 | 分辨率 | 面板 | 背光源 | 特殊设计 | 售价 |
| 三星S27B750V | 27英寸 | 1920×1080 | TN | LED | 不对称式底座 | 2599元 |
| 华硕VG278H | 27英寸 | 1920×1080 | TN | LED | 快门式3D | 4199元 |
| 明基EW2730V | 27英寸 | 1920×1080 | MVA | LED | 窗口之间切换 | 2859元 |
| HKC T7000 | 27英寸 | 2560×1440 | IPS | LED | 超高分广视角 | 2199元 |
| 长城M2715 | 27英寸 | 1920×1080 | TN | CCFL背光 | - | 1499元 |
| 优派VX2753mh-LED | 27英寸 | 1920×1080 | TN | LED | HDMI×2 | 2299元 |
| LG D2770P | 27英寸 | 1920×1080 | TN | LED | 偏光式 | 2999元 |
| Acer S273HL | 27英寸 | 1920×1080 | TN | LED | 不对称式底座 | 2899元 |
| 飞利浦273E3LHSB | 27英寸 | 1920×1080 | TN | LED | - | 1699元 |
| AOC D2757PH | 23英寸 | 1920×1080 | IPS | LED |
无边框 |
2599元 |
今天,我们挑选出十款价格比较适合普通消费使用的27英寸液晶显示器,它们分别为三星S27B750V、华硕VG278H、明基EW2730V、HKC T7000、LG D2770P、长城M2715、优派VX2753mh-LED、Acer S273HL、AOC D2757PH和飞利浦273E3LHSB显示器,这十款参与横评的液晶都是目前市场上最受欢迎的显示器,而合理的价格和出色的性能使它们跻身于高性价比机型的行列。接下来,我们将会从这十款机型的整体外观、细节做工、色彩特性以及伽马曲线优化等等方面对其做全面的对比,并为您提供更为客观直接的评论。
最热文章://lcd.zol.com.cn/325/3257988.html
最热文章://lcd.zol.com.cn/331/3314861.html
2外观(1):不对称式/无边框成趋势
在进行对比测试之前,我们来看看参加本次横向对比测试的十款27英寸液晶的庐山真面目。这十款机型中有的刚刚上市,人气十足。也有一部分上市时间相对较早,在市场上销售已经有将近一年多的时,因此目前不论是经销商的铺货情况,价格的变化都已经进入了一个稳定期,因此都比较适合近期出手购买。

三星S27B750V液晶显示器
三星S27B750V不仅在外观上继承了三星SA950系列的“不对称设计”。而且在性能方面也同样出色,S27B750V液晶显示器拥有100万:1的动态对比度,2ms的响应时间,支持1920×1080全高清的分辨率。在接口方面,三星S27B750V拥有D-Sub,2×HDMI,MHL三种接口。三星S27B750V主要面向于家庭娱乐用户进行设计制造。

AOC D2757PH液晶显示器的外观
D2757Ph超薄的机身在视觉效果上几乎可以忽略,因而称为“无边框设计”。该产品的正面和底座均采用细腻的黄金质感高亮金属拉丝处理,搭配可分离式背部支架和底座,线条冷峻、简约、细腻,充满数字科技独有的时尚气息。“刀锋Ⅲ”D2757Ph让人更多地想到数字家庭的显示终端,而不是传统的IT显示器。

优派VX2753mh-LED液晶显示器
优派这款VX2753mh-LED将传统的CCFL背光源更换成为LED背光源,在节能以及耐用性方面表现更好;此外,VX2753mh-LED还增加了两个HDMI接口,弥补了前作的遗憾,可以让用户连接高清播放机或者游戏主机等等,更加方便。

HKC T7000液晶显示器的外观
HKC T7000采用IPS面板以及LED作为背光源,支持2560x1440的超高分辨率,配合高达2000万:1对比度和300cd/㎡的高亮度,带来相当出色的色彩层次感。HKC T7000的接口非常齐全,具有D-Sub(VGA),DVI-D,HDMI,Displayport四大主流显示输出接口。另外,HKC T7000机身结构采用人体工程学设计,显示屏的高低可通过支架的高度自由调节,同时显示屏还可以90°旋转,底托支架还可以前后仰附、水平折叠,迎合各种各样的使用需求。

Acer S273HL液晶显示器
S273HL液晶属于Acer新品S3系列。它采用了LED背光技术,因此机身非常的纤薄,黑色边框宽度只有21mm,简洁大方。虽然是一款27英寸的大屏液晶,但是S273HL的功耗值非常低,仅为普通液晶的68%,十分节能环保。在外观方面,它最大的亮点就是采用了L型金属底部支架的设计,造型独特。
我们接着来看下面五款27英寸液晶显示器的产品简介。
飞利浦旗下的27英寸宽屏液晶显示器273E3LHSB是一款16:9屏幕比例的产品,它拥有非常稳重大气的外观设计,并且还具备了十分高的性价比,因此获得了非常多的消费者的青睐与支持。此外,飞利浦273E3LHSB凭借着中高端的性能参数,更能够满足高端娱乐用户的使用需求。

LG D2770P液晶显示器
D2770P-PN液晶采用的是LG独家的“FPR”偏光3D表示方式,这种模式能够减少液晶画面在3D模式下的抖动和重影现象。与此同时,产品附带了2D-3D转换软件TriDef和重达16g的被动式眼镜。此外还附送了装在普通眼镜上的3D显示镜片,这是之前几款3D液晶中所没有的附加价值。

长城M2715液晶显示器
在性能上,长城M2715的设计可谓完美。60000:1的对比度和5ms的响应时间让它在游戏方面能够给用户带来更好的感受,而1920×1080的全高清分辨率则在27英寸的大屏中展现的更为完全。在接口方面,长城M2715的视频输入接口是D-Sub(VGA),DVI-D,没有配备HDMI是一个小小的遗憾。

明基EW2730V液晶显示器的正面
明基EW2730V液晶显示器是一款16:9屏幕比例的27英寸宽屏,它的最佳分辨率为1920×1080。机身的边框采用了黑色的钢琴漆工艺设计,底边框和底座的上面均采用了金属拉丝感的材质设计。明基EW2730V配备了十分丰富的接口设计,因此能够满足用户更多的驳接需求。
下面,我们通过专业的仪器来对三星S27B750V、华硕VG278H、明基EW2730V、HKC T7000、LG D2770P、长城M2715、优派VX2753mh-LED、Acer S273HL、AOC D2757PH和飞利浦273E3LHSB液晶显示器的色彩特性进行测试。由于使用相机拍照这种原始的测试方式非常不专业、不准确,因此我们放弃这种方法,而使用Spyder Elite 3校色仪来测试其色彩的表现特性。在本次测试中,我们的测试环境光源色温为5000K,照度为53Lux,完全符合标准。下面图片中白色的闭合曲线代表sRGB色彩空间,红色的闭合曲线代表测试显示器的色彩空间。

HKC T7000液晶的色彩特性
(红色部分为HKC T7000色彩空间,白色部分为sRGB色彩空间)

AOC D2757PH色彩特性
(红色部分为AOC D2757PH色彩空间,白色部分为sRGB色彩空间)

三星S27B750V液晶的色彩特性
(红色部分为三星S27B750V色彩空间,白色部分为sRGB色彩空间)

华硕VG278H色彩特性
(红色部分为华硕VG278H色彩空间,白色部分为sRGB色彩空间)

优派VX2753mh液晶的色彩特性
(红色部分为优派VX2753mh液晶色彩空间,白色部分为sRGB色彩空间)
AOC D2757PH:理论上而言,红色的区域如果完全覆盖白色的sRGB色彩空间是最为理想的。我们可以看到代表AOC D2757PH色彩空间基本上覆盖了整个sRGB色彩空间。但是对于粉色渲染的略有欠缺。
三星S27B750V:代表三星S27B750V色彩空间覆盖了绝大部分sRGB色彩空间,其大部分的色彩而言其渲染的都比较丰富。但是对于粉色、蓝色等色调仍有可提升的空间。
HKC T7000:这款显示器的色彩特性项目的测试结果比较理想,凭借着IPS广视角面板的优势,这款显示器不仅完全覆盖了sRGB色彩空间 并且对于大部分的色彩而言其渲染的都比较丰富。
优派VX2753mh-LED:此款显示器的色彩空间基本上能够涵盖住代表白色的sRGB空间,相对而言其在上方部分更加突出,说明这款显示器能够表现出更丰富的绿色、黄色以及橙色部分,此外对蓝色表现更鲜艳。
华硕VG278H:通过对其ICC文件的分析,华硕VG278H液晶显示器相对能够表现更加丰富的粉色、绿色与黄色,与sRGB标准基本重合。因此其色彩表现也是非常优秀。
●参加十款27英寸横评液晶色彩测试(二)在看过了以上几款27液晶的简介后,现在来让我们看看剩下五款液晶的整体表现如何。

飞利浦273E3LSB液晶的色彩特性
(红色部分为飞利浦273E3LSB色彩空间,白色部分为sRGB色彩空间)

Acer S273HL液晶的色彩特性
(红色部分为Acer S273HL色彩空间,白色部分为sRGB色彩空间。)

明基EW2730V色彩特性
(红色部分为明基EW2730V色彩空间,白色部分为sRGB色彩空间)

LG D2770P色彩特性
(红色部分为LG D2770P色彩空间,白色部分为sRGB色彩空间)

长城M2715液晶的色彩特性
(红色部分为长城M2715色彩空间,白色部分为sRGB色彩空间)
Acer S273HL:代表Acer S273HL色彩空间完全覆盖整个sRGB色彩空间。而且对于部分蓝色、黄色、橙色、粉色等色彩能够十分丰富的表现出来。
飞利浦273G3DH:这款显示器的色彩空间与sRGB色彩空间的吻合程度,程度越大代表该液晶的色彩表现力越好。从以上的图中我们看到,飞利浦273G3DH液晶红色、黄色和粉色的饱和程度要好于蓝色等冷色调。
LG D2770P:这款显示器的色彩空间基本上覆盖了整个sRGB色彩空间。为其它对于粉色、橙色、绿色、红色等色彩渲染的更加鲜艳。总体来说,这款显示器在色彩特性的测试结果还是十分优秀的。
长城M2715:从结果上我们可以看到,代表长城M2715的色彩空间基本上覆盖了整个sRGB色彩空间。并且它对于绝大部分黄色、橙色、红色、等暖色调色彩表现的十分丰富。
明基EW2730V:我们可以看这款显示器整体的色彩可靠性表现不错,其色彩空间对于绿色、黄色、蓝色和紫色等部分的色彩表现上会更加鲜艳。总体来说,它的表现十分出色。
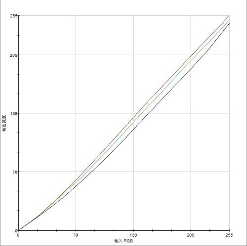
下面我们来看看三星S27B750V、华硕VG278H、明基EW2730V、HKC T7000、LG D2770P、长城M2715、优派VX2753mh-LED、Acer S273HL、AOC D2757PH、和飞利浦273E3LHSB十款液晶显示的伽玛曲线。伽玛曲线表示的是显示器亮度与输入电压的非线性关系,共有红、蓝、绿三种颜色的曲线,理论上三条线完全重合,并且完全呈一对角线是最为理想的,当然也很少有显示器产品能够做到这一点。

AOC D2757PH液晶显示器的伽玛曲线优

三星S27B750V液晶显示器的伽玛曲线优化

HKC T7000液晶显示器的伽玛曲线优化

华硕VG278H液晶显示器的伽玛曲线优化

优派VX2753mh-LED伽马曲线测试
AOC D2757PH:从上图中我们可以明显的看出,AOC D2757PH液晶的红、绿、蓝三条线只是在开始的阶段做到了完全的重合。但是尾部有明显的分离,并且距离较大。对于一款售价较高的3D显示器而言,在伽马曲线优化的方面仍有提升空间。
三星S27B750V:红、绿、蓝三条线完全重合并且呈一对角直线是最为理想的。而飞三星S27B750V红、绿、蓝线基本重合在一起,只有尾部部分略微分开,不过整体上也达到了十分出色的水平。
HKC T7000:我们可以看到HKC T7000的三条直线基本能够达到重合状态,而且成为理想的对角线形态。综合而言,这款显示器伽玛曲线优化的测试结果十分出色。
优派VX2753mh-LED液晶:这款显示器整体表现比较良好,开始时三条线能够做到基本上完重合到一起。只是尾端略有分离,但相隔的距离并不明显。
华硕VG278H:从上图来看,华硕VG278H的三原色三条线相对有些分开,不过基本上都在对角直线附近,也没有明显的弯曲,相对而言表现还是不错的。
7曲线(2): Acer S273HL基本重合
在看过了以上几款27英寸大屏液晶的简介后,现在来让我们看看剩下五款液晶的伽马曲线优化表现如何。

Acer S273HL液晶显示器的伽玛曲线优化
长城M2715液晶显示器的伽玛曲线优化

飞利浦273E3LHSB液晶显示器的伽玛曲线优化

LG D2770P的伽马曲线优化

明基EW2730V液晶显示器的伽马曲线优化
长城M2715液晶:从上图中我们可以明显的看出,长城M2715液晶的三条线完全没有重合到一起,并且分距离相对较大,但考虑到这款显示器超低的售价。因此长城M2715液晶伽玛曲线的优化方面的表现还是可以让我们接受的。
Acer S273HL:对伽玛曲线的优化表现时,红、蓝和绿三种颜色的曲线完全重合,并且呈一直线是最为理想的,当然现实生活中很少机型能够做到这一点。我们可以看到Acer S273HL的三条直线基本能够达到重合状态,只在最后阶段有所分离,表现比较出色。
飞利浦273G3DH:这款显示器伽玛曲线优化的测试结果还是比较理想的,红、绿、蓝三条线基本重合在一起,只有中间部分略微分开,不过整体上也达到了十分出色的水平。
LG D2770P:从上图中我们可以明显的看出,LG D2770P液晶的伽玛曲线虽然三条线基本上完全重合,但平没有成对角线状,而且在后期略微有所分散。但整体而言,这款显示器的表现还是能够令我们满意的。
明基EW2730V:这款显示器的红、绿线基本重合在一起,但是蓝色线呈现出明显的分离趋势。
下面,我们对三星S27B750V、华硕VG278H、明基EW2730V、HKC T7000、LG D2770P、长城M2715、优派VX2753mh-LED、Acer S273HL、AOC D2757PH、和飞浦273E3LHSB液晶显示器进行功耗测试。在测试中,我们严格按照国家颁布的《电脑显示器能效标准》进行测试。在测试前,我们将十款液晶显示器所有色彩控制(色调,饱和度等)应调节至出厂缺省值。不应连接任何外部设备,包括USB集线器或端口。

8级灰度的测试图案
在测试中,我们选用显示一个从全黑到全白提供8级灰度的测试图案(如上图所示)进行测试,并且分别将液晶显示器的亮度调节到100、75、50、25、0,并测试待机功耗。
0 25 50 75 100
三星S27B750V 14W 17W 23W 28W 31W
华硕VG278H 27W 31W 37W 42W 47W
明基EW2730V 19W 25W 30W 35W 40W
HKC T7000 30W 40W 46W 52W 67W
LG D2770P 20W 22W 28W 32W 36W
长城M2715 22W 30W 37W 44W 47W
优派VX2753mh-LED 15w 19W 23W 26W 30W
Acer S273HL 15W 17W 22W 29W 30W
飞浦273E3LHSB 20W 22W 27W 30W 32W
AOC D2757PH 16W 20W 24W 28W 30W
通过测试结果,我们可以看到十款27英寸液晶显示器在功耗方面分别的表现。其中HKC T7000显示器作为一款2560高分辨率广视角液晶显示器,其功耗是这这十款显示器中功耗最高的产品,长城M2715由于只采用了传统的CCFL作为背光,因此其功耗值较高。另外,LG D2770P、华硕VG278H、AOC D2757PH液晶显示器同为3D产品,所以功耗值要比其它的只采用LED背光的产品略高一些。而其它27英寸显示器在LED的帮助下已经摆脱了用电大户的名号。
通过对以上十款27英寸液晶显示器的横向对比,我们不难发现,目前市场上面向家庭娱乐推出27英寸液晶的标准配置一般都采用LED背光源为背光源。另外广视角、3D技术的添加是这类产品的一个明显标签,而相应时间大多都不会低于5ms,同时它们还都会具备低功耗的特长。这些特征也正是它们之所以受到广大消费者追捧的主要因素之一。

LED背光源是27英寸显示器重要标准
现在市场上27英寸液晶显示器多如牛毛,它们是充分的分析了消费者的实用需求所打造的。这些产品不仅拥有高动态对比度及分辨率、响应时间和多接口的设计,而且在细节做工以及性能数据上的表现都比较出色。另外,超低的价格也是这类显示器吸引消费者眼球的一大法宝。
| 十款27英寸液晶显示器简介 | ||||||
| 产品名称 | 尺寸 | 分辨率 | 面板 | 背光源 | 特殊设计 | 售价 |
| 三星S27B750V | 27英寸 | 1920×1080 | TN | LED | 不对称式底座 | 2599元 |
| 华硕VG278H | 27英寸 | 1920×1080 | TN | LED | 快门式3D | 4199元 |
| 明基EW2730V | 27英寸 | 1920×1080 | MVA | LED | 窗口之间切换 | 2859元 |
| HKC T7000 | 27英寸 | 2560×1440 | IPS | LED | 超高分广视角 | 2199元 |
| 长城M2715 | 27英寸 | 1920×1080 | TN | CCFL背光 | - | 1499元 |
| 优派VX2753mh-LED | 27英寸 | 1920×1080 | TN | LED | HDMI×2 | 2299元 |
| LG D2770P | 27英寸 | 1920×1080 | TN | LED | 偏光式 | 2999元 |
| Acer S273HL | 27英寸 | 1920×1080 | TN | LED | 不对称式底座 | 2899元 |
| 飞利浦273E3LHSB | 27英寸 | 1920×1080 | TN | LED | - | 1699元 |
| AOC D2757PH | 23英寸 | 1920×1080 | IPS | LED |
无边框 |
2599元 |
总体而言,三星S27B750V、华硕VG278H、明基EW2730V、HKC T7000、LG D2770P、长城M2715、优派VX2753mh-LED、Acer S273HL、AOC D2757PH和飞利浦273E3LHSB。这十款27英寸宽屏液晶显示器的表现各有千秋,究竟谁更适合,还是要根据消费者的实际预算以及使用条件和使用用户而定,切忌不可盲目跟风购买,一定要在购买之前了解自己的需求,按需购买。
最热文章://lcd.zol.com.cn/325/3257988.html
最热文章://lcd.zol.com.cn/331/3314861.html
10产品参数对比
HKC T7000和AOC D2757PH/BG和明基EW2730V和长城M2715和三星S27B550V和Acer S273HL有什么区别
27英寸价格不断在下滑,也大大刺激了其实际的销量,也吸引了更多消费者的眼球。那么面对这么多超值的27英寸大屏显示器究竟如何选择呢?本文将会带来有价值的参考。




推荐经销商